
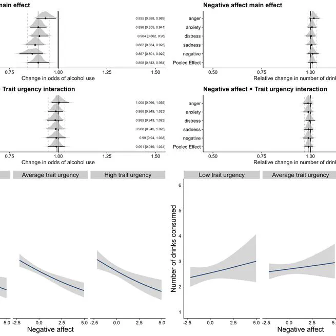
In this paper, we show (once more) that, unlike some prior research claims, impulsivity traits DO NOT moderate affect-substance associations in EMA data.
Feb 1, 2026
In this paper, we perform a Specification Curve Analysis to show that assocations between negative/positive affect and alcohol and cannabis use in EMA data are robust to hundreds of different specializations of the hypothesis.
Jan 1, 2026
In this paper, we show via IRT how different daily measures of AUD symptoms perform in EMA data.
Jan 1, 2026
In this paper, we report a study that shows, contrary to some prior research, that perceived self-control demands are not associated with same-day loss of control over drinking in young adults.
May 1, 2025
In this paper, we explore one possibility why positive affect predicts alcohol use in daily life, which is that the associations is reversed (affect increases in anticipation of drinking). We found some evidence for this by looking at people's intentions to drink.
Apr 1, 2025
Experiences of loneliness predict depressive symptoms prospectively for about 5 hours in daily life, but this association is not moderated by frequency and quality of social interaction.
Sep 1, 2024
This EMA study suggests that people are more impulsive in moments high in negative emotions, but this association is not moderated by global reports of negative urgency.
May 1, 2024

In this tutorial, we introduce the reader to analyzing ecological momentary assessment (EMA) data as applied in psychological sciences with the use of Bayesian (generalized) linear mixed-effects models.
Mar 1, 2024

This study meta-analyzed individual participant data from 12,394 individuals across 69 studies in which participants reported their emotional state and alcohol use for multiple days. Contrary to theoretical models of alcohol use, the findings indicated that people are not more likely to drink and do not consume more alcohol on days that they report higher negative affect but are more likely to drink on days that they report higher positive affect.
Jul 1, 2023

We show via Specification Curve Analysis across hundreds of models that there is little evidence for affect regulation of cannabis in regularly using young adults.
May 1, 2023